Annals of Molecular and Genetic Medicine
1MSc Bioinformatics, Stella Maris College, Chennai, India
2Department of Biotechnology, School of Life Sciences, Pondicherry University, Kalapet, Puducherry, India
Cite this as
Mitra S, Shukla LI. Computational Analysis of Conserved Plant microRNA408 and Evaluation of its Cross-Kingdom Regulatory Potential in Humans. Ann Mol Genet Med. 2025;9(1):001-015. Available from: 10.17352/amgm.000015
Copyright License
© 2025 Mitra S, et al. This is an open-access article distributed under the terms of the Creative Commons Attribution License, which permits unrestricted use, distribution, and reproduction in any medium, provided the original author and source are credited.Introduction: MicroRNA408 (miRNA408) is a highly conserved plant microRNA involved in copper homeostasis, development, and stress response. Given its presence in food crops and its evolutionary conservation, this study explores in silico analysis of mature and precursor miRNA408 (pre-miRNA408) and whether miRNA408 could exert post-transcriptional regulatory effects on human genes via dietary cross-kingdom interaction.
Methodology: A total of 72 mature and 55 precursor miRNA408 sequences were retrieved from miRBase v22. Sequence conservation, alignment, and phylogeny were analyzed using WebLogo, MAFFT, and iTOL, respectively. RNAfold was used to assess thermodynamic stability. A consensus miR408-3p sequence obtained from the literature was used to predict human gene targets via psRNATarget. Only targets predicted to be cleaved were selected for validation based on alignment, seed complementarity, and 3′compensatory sites pairing.
Results: The 3p strand exhibited higher nucleotide conservation than the 5p strand. Most mature sequences began with adenosine, suggesting AGO2–AGO9 loading. Longer precursors displayed lower minimum free energy (MFE), indicating higher structural stability. The high-confidence human target genes are involved in critical processes like gene regulation, cytoskeletal organization, neural development, and intracellular transport, highlighting the potential for dietary miRNAs to influence human biology.
Conclusion: miR408 has been reported in dietary plants such as tomato (Solanum lycopersicum). Multiple studies support the uptake and activity of dietary miRNAs in mammals. This study provides computational evidence for miR408’s cross-kingdom regulatory potential, which requires further experimental validation.
MicroRNAs (miRNAs) are small non-coding RNAs, typically 20–24 nucleotides in length, that play central roles in post-transcriptional gene regulation across eukaryotes [1-5]. They originate from precursor stem-loop structures that are processed by Dicer-like enzymes and subsequently incorporated into RNA-induced silencing complexes (RISCs). Within these complexes, miRNAs guide Argonaute (AGO) proteins to complementary mRNAs, resulting in either cleavage or translational repression depending on sequence complementarity [2,6]. In both plants and animals, the “seed region” spanning nucleotides 2–8 of the miRNA sequence is particularly important for target recognition [6-8].
In plants, miRNAs regulate diverse processes, including embryo patterning, organ development, responses to biotic and abiotic stresses, and nutrient homeostasis [2,9-11]. Conserved miRNAs, which are shared across multiple plant lineages, tend to have relatively high expression, low sequence variability, and essential developmental roles [12,13]. miR408 represents one of the most conserved plant miRNAs, reported in more than 30 species, and is strongly associated with copper homeostasis, stress tolerance, and growth regulation [12,10]. In Arabidopsis thaliana, the MIR408 gene is located on chromosome 2 (At2g47015), and its mature products, miR408-3p and miR408-5p, are processed from a conserved precursor hairpin [15].
Functional studies have identified key miR408 targets, including copper-binding proteins such as plastocyanin, uclacyanin, plantacyanin [1,9,12,13,14], and laccases [18]. Additional species-specific targets include TaTOC1s in wheat [13,15], DINUDT23 in longan [14,16], and IAA30 in rice [15,17]. By regulating these genes, miR408 has been shown to influence traits such as leaf size, petiole length, biomass, seed yield [12,16,18], heading time [13,15], root development [17,19], and somatic embryogenesis [14,16]. It also contributes to stress responses involving copper availability, light, cold, salinity, drought, osmotic stress, wounding, and nutrient limitation [12,19–22]. Overexpression of miR408 has been linked to enhanced stress tolerance and water-use efficiency [19,20,22]. Furthermore, recent work has revealed that the pri-miR408 transcript encodes miPEP408, a small peptide that enhances its own miRNA expression in a light-dependent manner through HY5, adding a regulatory dimension [29].
Bioinformatics approaches have greatly advanced the study of conserved plant miRNAs, enabling large-scale identification, expression profiling, structural analysis, and target prediction [31-33]. Several conserved families, including miR408, have been annotated and validated across crop and model plant species such as Triticum aestivum, Oryza sativa, Salvia miltiorrhiza, Populus trichocarpa, Arabidopsis thaliana, and Solanum lycopersicum using both computational pipelines and experimental assays [12,14-17,22,24]. For example, degradome sequencing in rice validated miR408-5p targets and demonstrated its role in flowering and stress responses [15,17], while studies in Populus highlighted its impact on biomass traits [12,14].
Beyond its roles in plants, recent findings point toward the possibility of dietary plant miRNAs participating in cross-kingdom regulation. Plant-derived miRNAs have been detected in mammalian serum and tissues following dietary intake, suggesting they can survive digestion and enter systemic circulation [35-38]. Zhang, et al. [34] reported that rice miR168a could target LDLRAP1 in mice, providing a proof of concept for interspecies regulation. Although subsequent studies have questioned the reproducibility of these findings [26-28], increasing evidence supports the potential of dietary plant miRNAs to influence animal or human gene expression.
Despite extensive functional characterization of miR408 in plants, its potential impact beyond the plant kingdom remains poorly understood. Considering its strong evolutionary conservation and structural stability, together with emerging evidence that plant miRNAs can persist in mammalian systems, miR408 represents a compelling candidate for cross-kingdom regulation. In this study, we employed a computational approach to evaluate the conservation and structural features of miR408 across multiple plant species, analyze its stability and AGO-binding potential, and predict possible human gene targets. These findings aim to provide new insights into the cross-kingdom regulatory potential of this conserved plant miRNA.
Mature and precursor sequences of miR408 were retrieved from the miRBase database (v22) (https://www.mirbase.org/) [32], a comprehensive repository of miRNA sequences and annotations from 271 organisms. A total of 73 mature and 55 precursor sequences were initially obtained, of which one mature entry was found to be obsolete and was removed. The final dataset comprised 72 mature and 55 precursor sequences, including 17 annotated as miR408-3p and miR408-5p, respectively. These sequences formed the basis for downstream analyses (Table 1, Figure 1). The overall pipeline was guided by established computational frameworks for miRNA analysis [41].
The species from which miR408 was annotated were classified taxonomically using the USDA Plants Database (https://www.aphis.usda.gov/). Taxonomic ranks, including division, class, order, and family, were assigned. Species richness across these ranks was visualized using bar and scatter plots generated in Google Colab with Matplotlib and Seaborn libraries. A complete dataset of taxonomic assignments is provided in Supplementary Table 1.
To assess sequence conservation, mature miR408 sequences were grouped into 5p and 3p arms based on their hairpin structures (Table 2). A custom Python script in Google Colab was used to analyze nucleotide frequencies across each position. Heatmaps were generated to depict position-wise conservation. WebLogo (https://weblogo.berkeley.edu/logo.cgi) [42] was further employed to visualize consensus sequence motifs, with “N” padding used to accommodate length variations.
Since the 5′ nucleotide strongly influences AGO loading, the distribution of nucleotides at this position was calculated using a custom Python script in Google Colab. Bar plots were generated to illustrate the frequency of 5′-end bases across mature miR408 sequences.
Precursor miRNA phylogeny: The 55 precursor miR408 sequences were aligned using MAFFT (https://mafft.cbrc.jp/alignment/server/index.html) [43]. Maximum likelihood phylogenies were reconstructed with the IQ-TREE web server (http://iqtree.cibiv.univie.ac.at/) [44,45], employing ModelFinder [46] for model selection and 5000 ultrafast bootstrap replicates [47] for branch support. Resulting trees in Newick format were visualized in iTOL v7.2 (https://itol.embl.de/) [48].
Mature miRNA phylogeny: Mature miR408-3p and 5p sequences were separately aligned in MAFFT, and phylogenetic trees were generated using IQ-TREE with identical parameters as above. Visualization was again performed in iTOL v7.2.
Secondary structures of precursor miR408 sequences were predicted using the RNAfold web server (http://rna.tbi.univie.ac.at/cgi-bin/RNAWebSuite/RNAfold.cgi) [31,33]. Minimum free energy (MFE) values were recorded, while GC content and precursor length were calculated using a custom Python script in Google Colab. Scatterplots and bar plots were generated to evaluate trends in sequence stability.
Potential cross-kingdom targets of plant miR408 were identified using psRNATarget (2017 update) (https://www.zhaolab.org/psRNATarget/) [49]. The consensus sequence was queried against the Homo sapiens cDNA library. Predicted targets were filtered for cleavage inhibition interactions, and the resulting dataset is provided in Supplementary Table 2.
The precise genomic coordinates and transcript regions (CDS, 5′ UTR, 3′ UTR) of the five high-confidence human target genes (AGO1, ZNF74, MAP6D1, SEMA5A, and ONECUT2) were retrieved from the Ensembl Genome Browser (https://www.ensembl.org) using MANE Select canonical transcripts. For each gene, the mature miR408 sequence was aligned against the full cDNA to identify the exact binding location. The genomic coordinates were validated against the GRCh38 human genome assembly. Based on this analysis, the target regions were classified as coding sequence (CDS), 5′ untranslated region (5′ UTR), or 3′ untranslated region (3′ UTR).
To validate predicted interactions, pairwise alignments were conducted between miR408 and human target sites using a custom Python script in Google Colab. Seed region complementarity and 3′ compensatory pairing were specifically assessed, with Watson–Crick matches, wobble pairings, and mismatches recorded [27,38,40].
Functional information for predicted human targets was obtained from the Human Protein Atlas (version 24) (https://www.proteinatlas.org/) [51]. Genes were categorized into biological and molecular functions, enabling assessment of their regulatory relevance.
To assess the broader significance of predicted targets, functional enrichment was first attempted using ShinyGO v0.76 (http://bioinformatics.sdstate.edu/go/) [52]. However, due to limited enrichment terms, further analysis was performed with the DAVID Functional Annotation Tool v6.8 (https://david.ncifcrf.gov/) [53,54]. Gene Ontology (GO) categories for Biological Process (BP) and Cellular Component (CC), along with UniProt Keywords, were retrieved. Multiple testing corrections (Bonferroni, FDR, Benjamini) were applied, and significantly enriched terms were reported.
The genomic locations of the predicted human target genes of miR408-3p were retrieved from publicly available databases. Gene coordinates, cytogenetic band positions, exon–intron structures, and strand orientation were collected from the NCBI Gene Database (https://www.ncbi.nlm.nih.gov/gene/) and the Ensembl Genome Browser (https://www.ensembl.org/), using the GRCh38/hg38 reference assembly. Chromosomal positions were recorded for each high-confidence target gene (AGO1, ZNF74, MAP6D1, SEMA5A, ONECUT2), and representative loci were used to illustrate their distribution across the human genome.
From the miRBase database (v22), a total of 72 mature and 55 precursor miR408 sequences were retrieved (Table 2). Among the mature sequences, 17 were annotated directly as 3p and 5p arms, while the remaining 38 required assignment based on their annotated hairpin structures. This classification revealed 46 sequences belonging to the 3p arm and 26 sequences to the 5p arm (Table 3). These datasets formed the basis for further taxonomic, structural, and functional analyses.
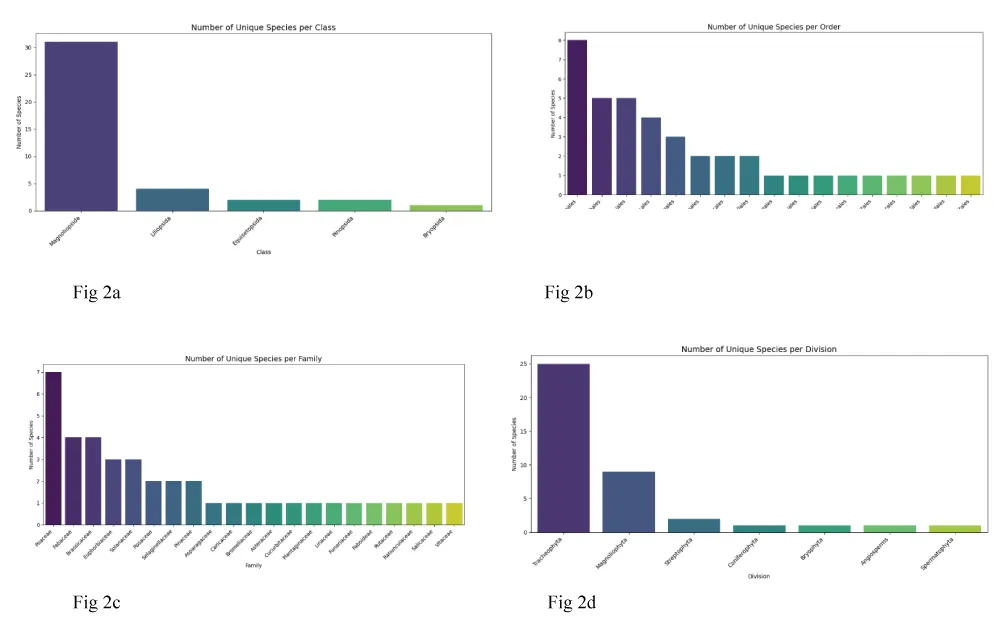
miR408 was identified across 40 plant species, spanning diverse taxonomic groups. The highest species representation was observed in the family Poaceae (7 species), order Poales (8 species), class Magnoliopsida (31 species), and division Tracheophyta (25 species) (Figure 2a-d; Supplementary Table 1). This indicates that miR408 is widely conserved across flowering plants, with strong representation in monocots such as cereals, highlighting its potential importance in fundamental plant processes.
Heatmap analyses of nucleotide distributions revealed higher sequence conservation in the 3p arm compared to the 5p arm. Complete conservation was observed at position 15 (cytosine) in all 3p sequences, with additional conservation at positions 9 (mostly cytosine) and 13 (predominantly uridine) (Figure 3a). By contrast, the 5p arm showed greater variability across positions, consistent with relaxed evolutionary constraints (Figure 3b). Sequence logos generated by WebLogo further confirmed these observations, providing a clear visual representation of conserved motifs (Figure 3c,d). These findings suggest that the 3p strand plays a more conserved functional role, while the 5p strand may have undergone lineage-specific diversification.
Analysis of the 5′ terminal nucleotide distribution provided insights into AGO loading preferences. The majority of 3p sequences began with uridine (n = 21), suggesting preferential binding to AGO1 and AGO10. In contrast, 5p sequences were enriched for adenosine (n = 11) and cytidine (n = 10), corresponding to potential associations with AGO2–AGO9 and AGO5, respectively (Figure 4; Tables 4,5). This divergence between 3p and 5p arms highlights possible functional specialization, with the conserved 3p strand showing canonical AGO1/AGO10 loading, and the variable 5p strand potentially engaging with multiple AGO pathways.
Phylogenetic trees constructed from precursor and mature miRNA408 sequences revealed distinct evolutionary patterns. The precursor tree, built from 55 sequences, showed strong family-level clustering with well-supported monophyletic clades for Poaceae, Brassicaceae, and Fabaceae (Figure 5). Basal taxa such as Selaginella moellendorffii and Pinus taeda were positioned as outgroups, consistent with their early divergence.
In contrast, mature sequence phylogenies revealed higher conservation in 3p strands than in 5p strands. The 3p alignment contained 59% invariant sites, producing tight clusters with strong family-level resolution (Figure 6). The 5p alignment, however, showed only 55% invariant sites with greater variability, resulting in weaker clade resolution and mixed lineage clustering (Figure 7). Together, these results reinforce the deep evolutionary conservation of pre-miR408 and mature 3p strands, while supporting functional diversification in the 5p arm.
Structural analysis of 55 precursor miR408 sequences revealed considerable variability in length (71–286 nt), GC content (39.91% - 59.62%), and minimum free energy (MFE; −117.4 to −30.6 kcal/mol) (Table 6). Saccharum officinarum showed the most stable precursors (MFE −117.4 kcal/mol), whereas Solanum tuberosum had the least stable (−30.6 kcal/mol). Trends indicated that higher GC content correlated with greater structural stability (Figure 8a-c). These findings suggest that precursor stability, while variable, may play an important role in the regulation and efficiency of miR408 processing across different taxa.
The consensus mature sequence of miR408-3p (5′-AUGAACUGCCUCUUCCCGGCG-3′) was used for cross-kingdom target prediction in Homo sapiens. psRNATarget analysis identified 68 potential human targets, of which 58 were categorized as cleavage-inhibition interactions (Supplementary Table 3). Alignment analyses revealed five high-confidence targets with strong seed and 3′ compensatory binding: AGO1, ZNF74, MAP6D1, SEMA5A, and ONECUT2 (Table 7). These genes are functionally linked to RNA silencing (AGO1), transcriptional regulation (ZNF74, ONECUT2), cytoskeletal organization (MAP6D1), and neuronal signaling (SEMA5A). The diversity of these predicted interactions suggests a plausible role for dietary miR408 in modulating mammalian gene expression.
Chromosomal mapping of human targets: Chromosomal mapping revealed that the predicted human targets of miR408-3p are distributed across multiple chromosomes, indicating no genomic clustering but rather a dispersed pattern of target localization. AGO1 is located on chromosome 1 at cytogenetic band 1p34.3, ZNF74 on chromosome 22 at 22q11.21, and SEMA5A at 5p15.31. ZNF74 lies in a region often associated with neurodevelopmental phenotypes, while SEMA5A is positioned in a region linked to developmental disorders. The remaining targets, MAP6D1 and ONECUT2, are located on chromosomes 3 and 18, respectively. This widespread genomic distribution suggests that miR408-3p may modulate diverse biological pathways across the human genome rather than acting via genomic clustering. The detailed chromosomal locations, cytogenetic bands, genomic coordinates, and exon counts of these high-confidence targets are summarized in Table 8.
To gain deeper insight into the potential regulatory mechanisms of miR408 on human targets, we performed a detailed analysis of the exact binding sites on the canonical transcripts of the five high-confidence target genes (AGO1, ZNF74, MAP6D1, SEMA5A, and ONECUT2). The MANE Select transcript for each gene was retrieved from the Ensembl Genome Browser, and the mature miR408 sequence was aligned to the full cDNA sequence to identify precise binding locations. The genomic coordinates were validated using the GRCh38 human reference assembly. Our analysis revealed that the miR408 target sites are distributed across different transcript regions: AGO1 (ENST00000373204.6) and SEMA5A (ENST00000382496.10) exhibited binding sites within the coding sequence (CDS), indicating a potential for direct interference with protein translation or mRNA stability. ZNF74 (ENST00000400451.7) was found to be targeted in the 5′ untranslated region (5′ UTR), which may affect translation initiation. Meanwhile, MAP6D1 (ENST00000318631.8) and ONECUT2 (ENST00000491143.3) displayed target sites in the 3′ untranslated region (3′ UTR), suggesting a role in mRNA stability and post-transcriptional regulation. These findings are summarized in Table 9 and provide further computational support for the hypothesis that miR408 may exert cross-kingdom gene regulation through diverse mechanisms.
Functional annotation of predicted targets, performed using DAVID and the Human Protein Atlas, indicated that miR408-3p targets span a broad spectrum of cellular processes. Key functional categories included transcriptional regulation (ONECUT2, ZNF74, MEF2C), RNA interference and silencing (AGO1), neural development (SEMA5A, MAP6D1), and immune regulation (TREML2, SKAP1, MAVS). Although enrichment analysis did not yield statistically significant pathways, the convergence of targets across transcriptional, neuronal, and immune functions supports the hypothesis that miR408 could influence multiple physiological systems if taken up in mammalian cells (Supplementary Tables 5-7).
MicroRNA408 (miR408) is one of the most conserved plant miRNAs, with established roles in development, vascular differentiation, redox balance, and abiotic stress responses. In this study, we conducted a comprehensive comparative analysis of miR408 across plant species, focusing on sequence conservation, AGO-binding preferences, phylogenetic relationships, structural stability, and potential cross-kingdom regulatory activity in humans.
Our retrieval of 72 mature and 55 precursor miR408 sequences from miRBase confirmed the broad taxonomic distribution of this miRNA family. The predominance of the 3p arm, observed both in annotation frequency and sequence conservation, is consistent with models of asymmetric arm selection during miRNA biogenesis. In particular, the invariant cytosine at position 15 of 3p sequences highlights a conserved structural feature likely critical for target recognition. By contrast, the higher variability in 5p sequences suggests lineage-specific or condition-specific adaptations, reflecting relaxed selection pressures relative to the conserved 3p strand.
AGO-binding preferences further emphasized this asymmetry. Most 3p sequences began with uridine, a canonical signal for AGO1/AGO10 loading, whereas 5p sequences frequently started with adenosine or cytidine, corresponding to alternative AGO associations. These patterns reinforce the dominance of the 3p strand in canonical silencing pathways while suggesting that the 5p strand may serve auxiliary or context-specific functions in certain species.
Phylogenetic analyses revealed strong clustering of precursor sequences into family-level clades, particularly within Poaceae, Fabaceae, and Brassicaceae. Mature sequence trees further highlighted the stability of the 3p arm, which showed tight family-specific groupings and high conservation across angiosperms. In contrast, the weaker clustering of 5p sequences supports their evolutionary diversification. Together, these results suggest that miR408-3p has been maintained as the functional strand under strong selective pressure, while 5p diversification may allow for adaptive regulatory flexibility.
Structural analysis of precursors revealed wide variability in length, GC content, and minimum free energy. Stable precursors with high GC% were more frequent in cereals such as Saccharum officinarum and Triticum aestivum, while dicot species like Solanum tuberosum showed shorter, less stable precursors. These findings suggest that structural stability of pre-miR408 may influence processing efficiency and abundance, and could contribute to observed differences in strand bias across taxa. Transcript per million (TPM) values have been reported for miR408 amid wide variation across plant species, ranging from ~0.8 TPM in inactive sugarcane buds to ~9.1 TPM in active buds (Saccharum officinarum) [76], and up to 147 TPM in Capsicum eximium flowers and small fruits (Capsicum spp.) [77], reflecting moderate abundance and mobility of miR408 transcripts in developing tissues.
Extending the analysis to humans, psRNATarget predictions identified 68 possible miR408-3p targets, with five high-confidence candidates: AGO1, ZNF74, MAP6D1, SEMA5A, and ONECUT2. These genes are functionally diverse, spanning RNA silencing, transcriptional regulation, cytoskeletal stability, and neuronal signaling. The identification of AGO1 is particularly intriguing, as it suggests a potential regulatory feedback loop whereby a plant miRNA might modulate the very machinery involved in small RNA function. While computational predictions require experimental validation, the convergence of targets in regulatory and neuronal pathways supports a plausible cross-kingdom influence.
A further layer of analysis mapped the exact miR408 binding sites within the transcript structure of each high-confidence target. AGO1 and SEMA5A were found to be targeted within their coding sequences (CDS), which may allow for direct translational repression or mRNA destabilization. ZNF74 exhibited a binding site in the 5′ UTR, potentially affecting translation initiation efficiency, whereas MAP6D1 and ONECUT2 were targeted in the 3′ UTR, consistent with classical post-transcriptional regulation mechanisms. The diversity in target site location suggests that miR408 may exert cross-kingdom regulation through multiple mechanistic pathways (Table 8). These results strengthen the hypothesis that miR408 could modulate mammalian gene expression in a complex, multi-faceted manner.
Chromosomal mapping further revealed that miR408-3p targets are distributed across multiple chromosomes, including regions implicated in neurodevelopmental disorders, such as SEMA5A at 5p15.3 and ZNF74 at 22q11. The former has been associated with autism spectrum disorder and intellectual disability, while the latter is linked to DiGeorge syndrome. This spatial distribution supports the potential relevance of miR408 targets in neurological pathways and broad cellular processes.
Functional annotation of these targets revealed enrichment in biological themes such as transcriptional regulation, epigenetic control, immune signaling, and synaptic function. Although no Gene Ontology (GO) terms reached statistical significance, the convergence of functional categories across independent targets suggests that miR408-3p could, if systemically absorbed, exert meaningful influence on mammalian gene networks. Supporting this, recent evidence from Camellia japonica showed that extracellular vesicle–packaged miR408 enhances fibroblast proliferation and wound healing, demonstrating the potential functional activity of plant-derived miRNAs in humans.
Finally, emerging studies on miRNA-encoded peptides (miPEPs), such as miPEP408, provide an additional regulatory layer. In Arabidopsis thaliana, miPEP408 enhances expression of its cognate miRNA, forming a self-regulatory feedback loop at the level of pri-miRNA transcripts. This dual functionality RNA-based silencing and peptide-based regulation,underscores the evolutionary significance of miR408 and highlights the need for integrated approaches to fully understand its biological roles.
Taken together, our findings establish miR408-3p as the dominant functional strand, characterized by evolutionary conservation, canonical AGO loading, structural stability, strong target complementarity, and diverse modes of action in putative human targets. Future work should focus on experimental validation of miR408 stability and systemic uptake in mammalian systems, its tissue distribution, and its functional regulatory impact. Integrating computational, molecular, and translational approaches will illuminate both the evolution of plant miRNAs and their intriguing cross-kingdom functions.
This study provides a comprehensive computational analysis of miR408 across diverse plant species, revealing its remarkable evolutionary conservation, arm-specific biases, and intriguing potential for cross-kingdom interactions. Our findings consistently highlight the dominance of the 3p arm, which exhibited strong nucleotide conservation, canonical AGO1/AGO10 loading preferences, and tighter phylogenetic clustering compared to the more variable 5p arm. Structural analyses of precursor sequences further underscored the importance of hairpin length, GC content, and folding stability in influencing miRNA408 biogenesis and strand selection across taxa.
Extending beyond plants, cross-kingdom target predictions identified five high-confidence human gene targets, AGO1, ZNF74, MAP6D1, SEMA5A, and ONECUT2, implicating miR408-3p in the potential modulation of regulatory, neuronal, and cytoskeletal pathways within mammalian systems. A novel layer of analysis mapped these targets to distinct transcript regions: AGO1 and SEMA5A in the coding sequence (CDS), ZNF74 in the 5′ untranslated region (5′ UTR), and MAP6D1 and ONECUT2 in the 3′ UTR. This suggests multiple mechanisms through which miR408-3p could regulate gene expression, such as translational repression, interference with translation initiation, or modulation of mRNA stability. Although functional enrichment analysis did not reach statistical significance, the convergence of target gene functions in biologically coherent pathways lends further support to the hypothesis of cross-kingdom regulatory potential.
Moreover, recent studies on miRNA-encoded peptides (miPEPs), such as miPEP408, expand the regulatory dimension of miR408 beyond RNA silencing to include peptide-mediated feedback mechanisms. These dual functional roles highlight the evolutionary complexity and potential adaptability of miR408 as a regulatory molecule.
Overall, our results position miR408-3p as a valuable model for studying plant miRNA conservation, biogenesis, and cross-kingdom regulatory functions. However, translating these computational predictions into biological relevance requires rigorous experimental validation. Future research should focus on verifying the stability and systemic uptake of plant miR408 in mammalian systems, determining its tissue-specific distribution, and experimentally assessing its impact on the expression of target genes. Such integrated molecular and translational studies will be essential to fully elucidate the role of plant-derived miRNAs in inter-kingdom communication and their potential applications in therapeutics and human health.
The data supporting the findings of this study are available from miRBase v22, psRNATarget, and public repositories cited within the manuscript.
Supplementary_Table_1 - mir408_mature&precursor_info_miRBase
Supplementary_Table_2 - psRNATarget_consensus_3p_targets
Supplementary_Table_3 - miRNA_detailed_alignment_analysis
Supplementary_Table_4 - top5_miRNA_targets_with_alignment
Supplementary_Table_5 - 3p_target_geneInfo_ShinyGO
Supplementary_Table_6 - DAVID
Supplementary_Table_7 - 3p_target_HPA_details
Subscribe to our articles alerts and stay tuned.
This work is licensed under a Creative Commons Attribution 4.0 International License.

PTZ: We're glad you're here. Please click "create a new query" if you are a new visitor to our website and need further information from us.
If you are already a member of our network and need to keep track of any developments regarding a question you have already submitted, click "take me to my Query."